AICL Bonus Meeting Updated Apr 21, 2026, 06:23 AM Adamjee Insurance Company Limited Board Meeting Key Information Period Ended Mar 31, 2026Meeting Date Apr 28, 2026Meeting Agenda Quarterly Related Documents View Image
MERIT Bonus Meeting Updated Apr 21, 2026, 06:21 AM Merit Packaging Limited BOARD MEETING Key Information Period Ended Mar 31, 2026Meeting Date Apr 28, 2026Meeting Agenda QUARTER/PERIOD Related Documents Download PDF View Image
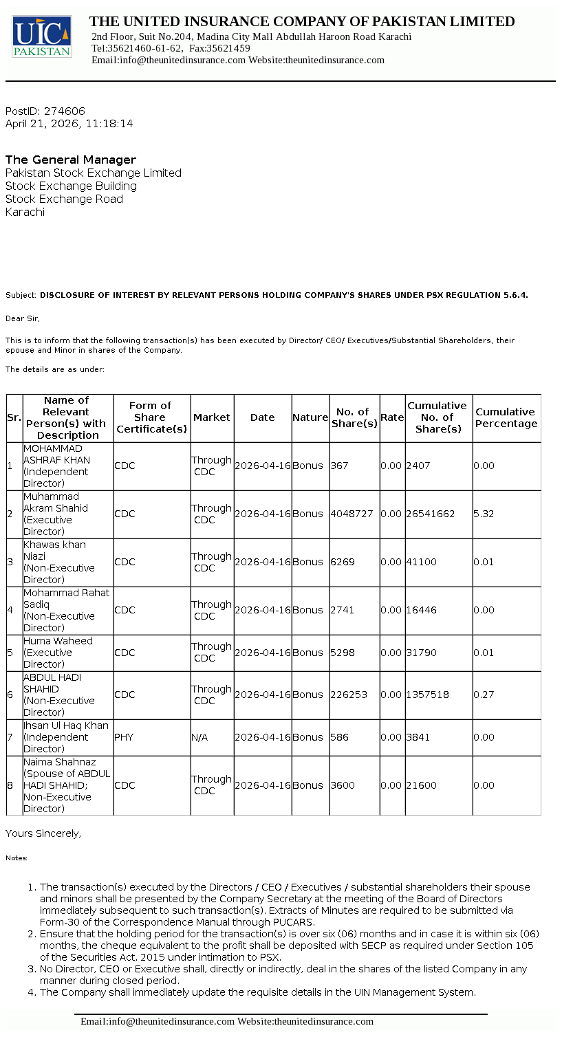
UNIC Interest Disclosure Updated Apr 21, 2026, 06:18 AM United Insurance Company of Pakistan Limited Disclosure of Interest by a Director CEO, or Executive of a listed company and their Spouses and the Substantial Shareholders u/c 5.6.1.(d) of PSX Regulations Related Documents Download PDF View Image
CEPB Bonus Meeting Updated Apr 21, 2026, 06:18 AM Century Paper and Board Mills Limited BOARD MEETING Key Information Period Ended Mar 31, 2026Meeting Date Apr 28, 2026Meeting Agenda QUARTER/PERIOD Related Documents Download PDF View Image
ATIL Dividend Credit Updated Apr 21, 2026, 06:15 AM Atlas Insurance Limited Credit of Final Cash Dividend for the year ended December 31, 2025 Key Information Period Ended Dec 31, 2025Meeting Date Feb 26, 2026 Related Documents Download PDF View Image
NBP Bonus Meeting Updated Apr 21, 2026, 06:13 AM National Bank Of Pakistan Baord Meeting Key Information Period Ended Mar 31, 2026Meeting Date Apr 29, 2026Meeting Agenda Quarterly Related Documents Download PDF View Image
TGL Bonus Meeting Updated Apr 21, 2026, 06:11 AM Tariq Glass Limited Board Meeting Key Information Period Ended Mar 31, 2026Meeting Date Apr 28, 2026Meeting Agenda Quarterly Related Documents Download PDF View Image
MFL Material Information Updated Apr 21, 2026, 06:07 AM Matco Foods Limited Material Information Related Documents Download PDF View Image
CHAS Material Information Updated Apr 21, 2026, 05:58 AM Chashma Sugar Mills Limited Material Information Related Documents Download PDF View Image
SITC Bonus Meeting Updated Apr 21, 2026, 05:56 AM Sitara Chemicals NOTICE OF BOARD MEETING FOR THE APPROVAL OF QUARTERLY ACCOUNTS FOR THE PERIOD ENDED MARCH 31, 2026 Key Information Period Ended Mar 31, 2026Meeting Date Apr 28, 2026Meeting Agenda Quarterly Related Documents View Image